回答(1)
Irene2020-07-10 17:46:54
同学你好。
因为这题求得是未来三年整体(over the three-year period)地HPR
所以是把未来三年看成一个整体。具体计算如图
- 评论(0)
- 追问(4)
- 追问
-
不明白 ,您就告诉我什么时候需要用开方,什么时候不需要用开方就行,我分不清
- 追答
-
同学你好。
一般情况下,一年以上开方,一年以下不开方。但是这个结论是一个简单概括。
但是这题就属于比较特殊,这里不能简单概括。如果你简单记忆开方,不能保证所有题目都做对,会影响你通过的。
所以请再回看一下,我上面的说法。
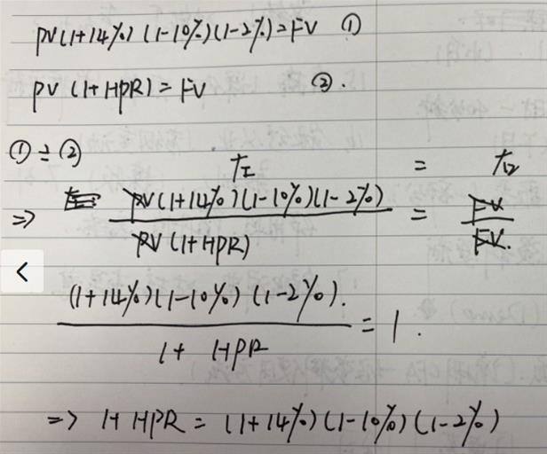
首先,假设期初投入PV,第三年年末拿出来FV。
此时,公式1中,PV按照真实的三年收益率利滚利,会得到第三年年末的FV。
公式2:
因为题目中要求的是整个3年的HPR,是把整个3年看成一个整体。所以第二个公式中,PV是按照HPR利滚利一次就得到FV,所以是公式2中就是1次方。
然后用公式1除以公式2 ,PV,FV上下可以约掉。
那么在计算HPR的时候自然就不需要开方了。
反过来,如果把这题变一下,如果是求每一年的HPR。
相当于PV要按照HPR利滚利3期,才能得到第三年年末的FV,所以第二个公式就会变成PV*(1+HPR)^3=FV. 此时,就需要开3次根了。
这类题目建议从定义出发,不要简单记忆结论,不然容易出错。如果你还有不明白的,欢迎继续追问,我们再探讨。
- 追问
-
老师 麻烦你能把后续1/2式子帮我计算一下吗?我不太会算 想看一下解题过程
- 追答
-
同学你好
如图
评论
0/1000
追答
0/1000
+上传图片


