宋同学2020-07-09 10:12:54
老司机哦 蒙特卡洛模拟计算 老师没讲过吧
回答(1)
Evian, CFA2020-07-09 17:49:40
伙伴下午好,
这个不是模特卡洛模拟(Monte Carlo simulation)
这是PV和FV的关系,然后用连续复利计算一下,金融计算器算ln (120/112) = 6.90%,计算器按法:
120
除号
112
等号
感谢正在努力的您来提问,您可以参考我的解析进行理解,如有疑问可追问~
如果您满意本次答疑请【点赞】,鼓励Evian更加优秀,您的声音是我们前进的动力,祝您生活与学习愉快~
- 评论(0)
- 追问(2)
- 追问
-
老师 我没有明白 连续复利不是2nd ex吗?ln是什么?这两个有什么区别
- 追答
-
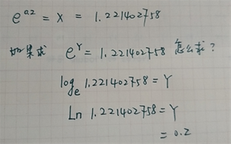
伙伴早上好,
简单的举例,是互为逆运算的过程~
感谢正在努力的您来提问,您可以参考我的解析进行理解,如有疑问可追问~
如果您满意本次答疑请【点赞】,鼓励Evian更加优秀,您的声音是我们前进的动力,祝您生活与学习愉快~
评论
0/1000
追答
0/1000
+上传图片



