回答(1)
吴慧敏2020-06-28 11:41:03
option的杠杆高,风险大。
比如底层标的价格变动1%,option的价格对应变化10%
是这个意思
- 评论(0)
- 追问(2)
- 追问
-
可是如果买一个call option行权价是50,underlying从50变到100,那option价格也是变动50,而且如果算上time value的话,那option的价格的变动量不是会比50更小吗
- 追答
-
只有delta=1时,ΔS变动1单位,ΔC对应变动1单位吧?
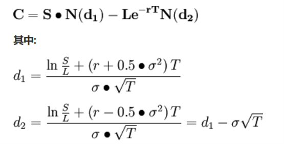
如果你要从定价角度考虑,期权的定价有二叉树模型和BSM模型,以BSM模型为例(参考下图),期权价格和股票价格就不是单纯的1:1关系。
另外这里说的是volatile,波动性,也可以理解成不稳定的,风险大的。
期权本身属于高杠杆金融产品,衍生品的一种,不从定价角度考虑,只是从性质和交易方式角度考虑,期权的风险也是更高。
最后,感觉你有一个误区,期权的行权价和期权的价格是两回事。
比如一个看涨期权,行权价是50元,但是期权的价格可能只要2元,用2元就可以买到一个行权价50元的看涨期权,这就是期权的杠杆特性
评论
0/1000
追答
0/1000
+上传图片

