余同学2020-06-27 10:51:02
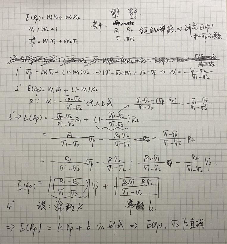
一式:E(Rp)=W1R1+W2R2,二式:W1十W2=1,三式:6P=W161+W262,怎么推出是图上的线?
回答(1)
Irene2020-06-28 18:14:04
同学你好
推导如图
- 评论(0)
- 追问(0)
评论
0/1000
追答
0/1000
+上传图片


