范同学2020-06-26 08:46:26
老师。。。最后这一列怎么算的?
回答(1)
Irene2020-06-28 18:04:21
同学你好
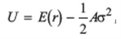
利用公式如下图
因为A=0,所以效用就等于expected return。比如说第一个人,效用就是18%=0.18
- 评论(0)
- 追问(0)
评论
0/1000
追答
0/1000
+上传图片



