董同学2020-06-23 17:07:41
第22题,不知道怎么做
回答(1)
Evian, CFA2020-06-23 17:13:44
伙伴下午好,
感谢提问,如果可以抽空明确一下哪里不懂就更好了,是题目的那个表述不理解,还是解析的哪个地方不理解,我可以更有针对性的和你解答。
【满意度】感谢正在努力的你提问,您可以参考我的解析进行理解,如果有疑问可追问~ 【点赞】如果您满意本次答疑请点赞,鼓励Evian更加优秀,您的声音是我们前进的动力,祝您生活与学习愉快~
- 评论(0)
- 追问(7)
- 追问
-
没有看懂这个题
- 追问
-
就是读不懂题,希望老师把题目可以翻译一遍,谢谢
- 追答
-
伙伴晚上好,
为了对比同时期的样本投资组合,一个是样本投资组合,另一个是S&P 500(标普500),通过确定两个投资(投资组合)的极差和平均绝对偏差,一个分析师做了业绩的衡量。
对比表明,标普500在以下方面显得风险更大:
嗯嗯,明确一点就好办了 ↖(^ω^)↗
【满意度】感谢正在努力的你提问,您可以参考我的解析进行理解,如果有疑问可追问~
【点赞】如果您满意本次答疑请点赞,鼓励Evian更加优秀,您的声音是我们前进的动力,祝您生活与学习愉快~
- 追问
-
老师,这个题目上面标普500的级差和平均绝对偏差都没有数,是因为印刷的问题吗?如果有了这两个数的话,应该就能够算出来了
- 追答
-
伙伴下午好,
应该是自己根据题目信息计算的~
- 追问
-
老师,那这两个数就是标普500的级差和平均绝对偏差,这怎样计算呀?根据题目,我不知道是怎样去计算 希望老师给出解答,谢谢
- 追答
-
伙伴下午好,
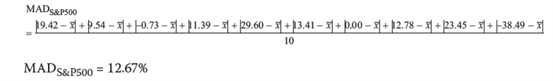
标普500指数极差:[29.60% -(- 38.49%)]= 68.09% > Sample Portfolio 极差 67.09%
标普500指数MAD如下图所示:等于12.67%>11.78%
【满意度】感谢正在努力的你提问,您可以参考我的解析进行理解,如果有疑问可追问~
【点赞】如果您满意本次答疑请点赞,鼓励Evian更加优秀,您的声音是我们前进的动力,祝您生活与学习愉快~
评论
0/1000
追答
0/1000
+上传图片



