天堂之歌

听歌而来,送我踏青云〜

您现在的坐在位置:首页>智汇问答>CFA问答

潘同学2020-06-21 16:50:21

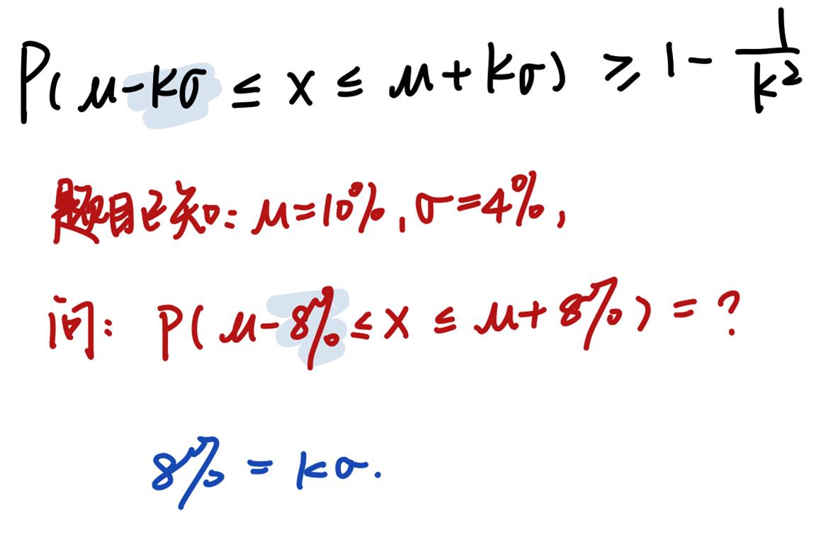
k乘以sd 等于百分之八是怎么理解

查看试题

回答(1)

崔珏2020-06-21 23:17:49

同学你好,
是根据切比雪夫不等式以及题目已知条件推导而得到的,具体见下图。

  • 评论(0
  • 追问(0
评论

精品推荐

评论

0/1000

追答

0/1000

+上传图片

    400-700-9596
    (每日9:00-21:00免长途费 )

    ©2026金程网校保留所有权利

    X

    注册金程网校

    验证码

    同意金程的《用户协议》
    直接登录:

    已有账号登录