宋同学2020-06-17 14:39:02
老师求β的计算 我不会辨析用哪个公式,怎么辨析? 公式1β=cov im/市场组合方差, 公式2β=相关系数*相关系数i/相关系数m, 这道题我为什么用公式1算不对?
回答(1)
Bingo2020-06-17 17:58:29
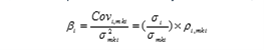
同学你好。应该是图中的这两个公式。你右边的公式不对哦。
第一个公式数字代错了。本题并没有告诉我们协方差的数据。0.8是correlation。
- 评论(0)
- 追问(2)
- 追问
-
cov是什么?corr相关系数吧?他们之间不是可以互求吗
- 追答
-
同学你好。
cov是协方差covariance的缩写,表示两个变量之间的方向性。
cov1,2=ρ1,2*σ1*σ2
评论
0/1000
追答
0/1000
+上传图片


