Oliverbug2020-06-16 10:57:13
就是再说government bond(Auction)这里,老师说,出价高的人,收益率期待就低,为什么啊
回答(1)
Danyi2020-06-16 14:58:21
同学你好,
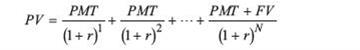
债券的价格是通过未来现金流折现求和得到的,所以债券的价格跟收益率是呈反向关系的。
- 评论(0)
- 追问(0)
评论
0/1000
追答
0/1000
+上传图片

