Oliverbug2020-06-16 10:35:10
突然没搞懂。。关于P=ΣCFt(1+r)^t,老师说P越高,所以投资者的期望收益率r就越低。那这个P和当初投资者花钱买的债券的那个价格,是什么关系?
回答(1)
Danyi2020-06-16 14:42:35
同学你好,
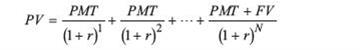
这里债券的价格跟收益率是呈反向关系的,债券的价格是通过未来现金流折现求和得到的,见下图,收益率相当于公式里面的折现率。
这个求出来的债券的价格是一个市场价格,也就是投资者在到期前如果要卖掉这个债券的市场价格,他跟投资者最开始花钱购买价格其实没有关系,购买价是发行时发行人所定的一个价格。
- 评论(0)
- 追问(0)
评论
0/1000
追答
0/1000
+上传图片

