程同学2020-06-06 20:02:01
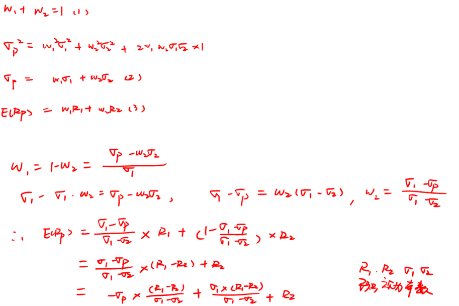
老师,关于两资产相关系数为1时,他们形成的投资组合的期望收益率与风险之间的关系式的推导过程可以给我看看吗,我试着推到了一下,感觉得到的不是线性关系,谢谢
回答(1)
Bingo2020-06-08 18:49:11
同学你好。可以推出关于E(Rp)和σp之间的线性关系。
- 评论(0)
- 追问(2)
- 追问
-
好的 谢谢
- 追答
-
不客气,祝你考试顺利。
评论
0/1000
追答
0/1000
+上传图片


