吴同学2020-06-06 19:08:27
我记计算器的NPV功能可以算这种uneven cash flow的pv值,那怎么在计算器中实现类似NPV的计算来计算uneven cash flow的FV的值呢???这里老师讲的不清楚啊
回答(1)
崔珏2020-06-07 17:34:02
同学你好,
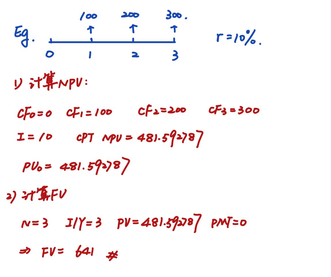
用npv排键计算出PV后,用PV、FV排键计算FV即可,具体见下图。
- 评论(0)
- 追问(0)
评论
0/1000
追答
0/1000
+上传图片

