回答(1)
Sophie2020-06-02 17:25:50
同学你好
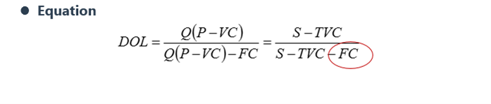
according to the formula attached, if FC (in the red circle)becomes greater,
the denominator will be smaller thus there will be more operating leverage instead of less
- 评论(0)
- 追问(0)
评论
0/1000
追答
0/1000
+上传图片

