董同学2020-05-01 16:16:18
第五题不明白,看了答案的那个算法还是不明白,为什么这样算?
回答(1)
吴慧敏2020-05-02 08:34:25
这题和之前第三题的知识点类似,计算资本利得/损失的时候,用的carrying value。
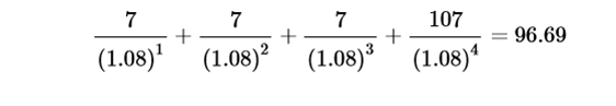
carrying value其实就是债券现金流的折现,五年后的现金流折现如下图,4-6共用题干,所以可以看到这只债券本来的要素是9年,票面利率7%,平价发行,每年支付票面利率。那么5年后,剩余到期年限是4年,这4年每年的现金流是7、7、7、107(面值100+coupon 7),将这4期现金流折现,用新的市场利率8%(票面利率期初一旦确定就不改,所以coupon一直是7%,市场利率/折现率会随着市场改变),所以就计算得到5年后的PV=96.69
平价发行,支付100,5年后卖出,得到96.69,相减亏损3.31
- 评论(0)
- 追问(2)
- 追问
-
老师,其实我还是有点不明白,为什么要后四期的利息和本金进行折现呢?
- 追答
-
这是债券的定价方法,未来现金流折现之和,就是债券的价格
评论
0/1000
追答
0/1000
+上传图片


