自同学2020-04-22 00:28:02
请问老师可否讲解一下,这两题的问题问的是什么,要我求什么,看了答案还不明白解题思路是什么
回答(1)
Bingo2020-04-22 18:45:51
同学你好。
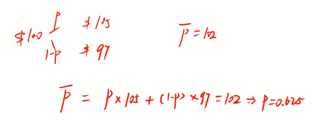
27题让求股价上涨的概率。过程列出来了,可以参考下图。
29题考得是一个概念:A正确。在连续均匀分布下,产生一个等于任意不动点的随机数的概率为零。
- 评论(0)
- 追问(2)
- 追问
-
老师我问得是27和28题哦,主要是两题的题意给出的条件是什么含义以及求什么不太明白,27题要求上升概率,为什么底下的式子要乘以105和97,这两次的概率有什么关系吗为什么要乘以它?
- 追答
-
27题告诉我们均值是102,一定可能性价格涨到102,一定可能性跌倒97,具体概率不知道。
式子里的P就相当于是x, 根据均值倒求p是多少。
28题还是要先把图画出来。参考下图。题目意思是想说,有几个terminal node上的股票价格,就是二叉树的节点,会超过200元。
题干中说了,超过200元才会有一个postive payoff。
评论
0/1000
追答
0/1000
+上传图片



