回答(1)
最佳
Danyi2020-02-26 13:43:01
同学你好,
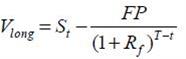
A选项:正确的应该是因为利率下降,会导致价格下降,所以Value也是下降的。
C选项:正确的应该是因为时间减少,会导致价格下降,所以Value也是下降的。
这两个结论都可以通过公式直接看出,跟利率和时间都是成正向关系的
- 评论(0)
- 追问(2)
- 追问
-
根据公式,利率和时间都跟FP正相关,利率和时间下降,FP就会下降,而value=S-FP,所以value会下降,是这样理解的吗?
- 追答
-
同学你好,
是的,这里就相当于利率和时间跟value都是正相关的。
评论
0/1000
追答
0/1000
+上传图片

