15****012026-04-20 17:13:34
我想问下这个不是在给定显著性水平下了吗,那么根据 (tc × Sf),tc已经确定好了,Sf是Y的标准误,所以这两个参数都跟自变量X无关,所以这句话不应该是对的吗
回答(1)
最佳
Essie2026-04-21 10:48:42
同学你好,Observation 1说“无论 US CPI 共识预测值是多少,预测区间都相同”。这里相同的意思是整个区间(包括上下限)完全一样。预测区间是点估计+/-关键值*标准误,点估计变化,预测区间肯定变化,所以从这个角度已经说明了这句话不对。
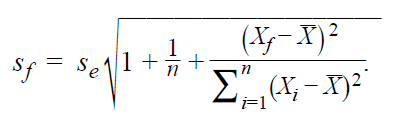
另外,Sf是因变量预测值的标准误,或者说是Y cap的标准误,它会受到自变量的影响,公式比较复杂,不需要掌握,见下图。
计量经济学中预测区间的标准误会随X偏离均值而扩大,所以宽度也会变化。
- 评论(0)
- 追问(0)
评论
0/1000
追答
0/1000
+上传图片


