155****96592025-10-24 20:27:02
不懂两个国家的汇率换算,为什么要*S0再除以F相等
回答(1)
Essie2025-10-28 17:45:27
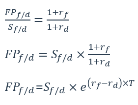
同学你好,下图第一行是经济学的抛补利率平价定理,依据这个定理,我们可以得到2和3式,2和3的差异在于2是离散复利的公式,3是连续复利的公式。数量这里采用了连续复利的公式。
这个知识点有些难,因为还没学经济学的这个定理,所以不太好理解。数量里不考察这一小节的内容,同学可以先放一下,等所有的科目包括衍生都学完了,再回来看这里就轻松了。
- 评论(0)
- 追问(0)
评论
0/1000
追答
0/1000
+上传图片

