 张同学2025-09-25 13:18:01
张同学2025-09-25 13:18:01
                老师我一开始思维错误,直接用1除以各期价格,算的调和,结果一样,并未像老师那样用总价钱除以总数量?以后的题是不是可以直接这么做,还是说我就是阴差阳错算对了。 还有就是在这个题中几何平均值怎么算?我没考虑5000 直接用价格算的 选项都是对的
查看试题回答(1)
 Essie2025-09-26 16:39:55
Essie2025-09-26 16:39:55
                        同学你好,调和平均数的公式见下图1,分子上n是样本数量,分母上1/x的x就是每个观测值,所以分母上相当于是每个观测值的倒数再相加。计算调和平均数就这一个公式,按照这个公式去做肯定没问题。
具体这个公式怎么记忆,你可以按照老师讲的思路,总金额去除以总股数。
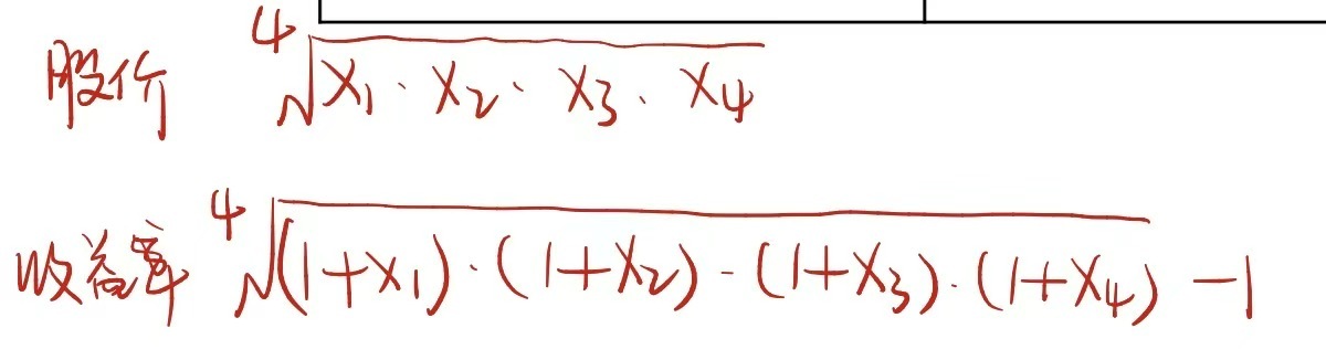
几何平均数的公式如下图2所示,如果是价格数据算几何平均数用图2上面的式子,如果是收益率数据算几何平均数用图2下面的式子。
- 评论(0)
- 追问(0)
 
     
        评论
0/1000
追答
0/1000
+上传图片
 
                
             
                     
                 张同学
张同学 Essie
Essie

