刘同学2024-07-27 13:05:09
为什么这两道题分母的计算方式不一样?怎么记忆呢
回答(1)
最佳
Danyi2024-07-29 17:35:28
同学你好,
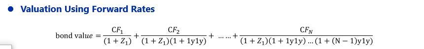
因为题干给的是两种不同的折现率,所以计算方法不同。见下图讲义。
- 评论(0)
- 追问(1)
- 追问
-
那考试的时候怎么知道用哪个
评论
0/1000
追答
0/1000
+上传图片




